




鐵磁材料樣品在交流磁場中磁化時,對于同一頻率,改變交變磁場大小(幅值〉,可得到不同的動態磁滯回線,這些動態磁滯回線頂點的連線稱為動態磁化曲線。在低頻下:交流磁潢縣線型式近似工前節所達的真流磁滯回線。但當頻染升高后,電玉磁芯損耗,磁滯回線變寬,此時將不同于直流磁滯回線,因此,動態磁化曲線與靜態磁化曲線也有差別。當交流磁場幅度很小時,其磁感應強度
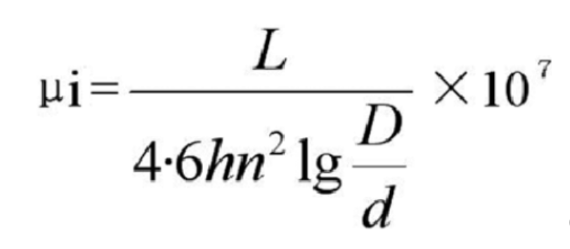
變化與磁場強度變化的比值,稱為交流初始磁導率,也簡化為 Ui表示:實際上,只有在均勻磁化閉合磁芯(如環形磁芯)上才能測得材料真實磁導率,因此材料初始磁導率通常采用標準試環,均勻纏繞n匝線圈后,測量線圈的電感值 L,然后按下式計算:

公式中,電感 L 單位為 H(亭利),環形磁芯外徑 D,內徑d,高度 h,單位均為 口(米)。